Abstract
Background and objective. The combination of HyperCVAD and ponatinib resulted in a high molecular response rate and survival in adults with Ph+ ALL, suggesting improved outcome compared with combinations of chemotherapy with first- or second-generation tyrosine kinase inhibitors (TKI) (Jabbour E, et al, Lancet Haematol. 2018;5:e618-e627). The Spanish PETHEMA group conducted the phase 2 PONALFIL trial, which incorporates ponatinib to the same chemotherapy as that of the ALL Ph08 trial that used imatinib as TKI (Ribera JM et al. Cancer 2019;125:2810-17). Final results of this trial are reported.
Patients and method. PONALFIL trial (NCT02776605) combined ponatinib (30 mg/d) and induction chemotherapy (vincristine, daunorubicin, prednisone) followed by consolidation (high-dose methotrexate, high-dose ARA-C, mercaptopurine, etoposide) and allogeneic hematopoietic stem cell transplantation (alloHSCT). Ponatinib was scheduled after alloHSCT only for patients (pts) with persistence/reappearance of MRD. Response to therapy (complete morphological [CR], molecular [complete -CMR- or major -MMR-] after induction and before alloHSCT) (assessed by centralized BCR-ABL1/ABL1 ratio), disease-free survival (DFS), overall survival [OS]) and toxicity were analyzed. The following genetic studies were performed: 1. Additional gene abnormalities (Copy Number Alteration [CNA] analysis by SNP array Affymetrix 750K), 2. ABL1 mutation status at diagnosis (Sanger sequencing), 3. T315I mutation at diagnosis (allele-specific PCR). A propensity score comparison with the results of the ALL Ph08 trial was performed.
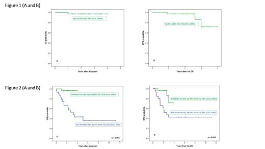
Results. Median age was 49 (19-59) years (y), and 13/30 pts were female. One pt showed CNS involvement at diagnosis. ECOG score was <2 in 90% of pts. Median WBC count was 6.4 x10 9/L (0.6-359.3), Hb 90 g/L (63-145), platelets 38 x10 9/L (11-206). Immunologic phenotype was common in 26 cases, with p190 isoform in 20 pts (67%), p210 in 9 (30%) and p230 in 1 (3%). CR was attained in 30/30 pts, CMR in 14/30 (47%), MMR in 5/30 (17%) and no molecular response in 11/30 (37%). Two pts withdrew the trial during induction (thrombosis of central retina artery and severe intestinal infection, one case each). Consolidation was given to 28 pts, 2 pts withdrew the trial (physician's decision and lack of molecular response, one case each) and 26 pts received alloHSCT (20 in CMR, 6 in MMR). No relapses before HSCT were detected. One pt died by severe GVHD and two withdrew the trial (grade IV hepatic toxicity:1, protocol deviation after molecular relapse:1). One pt relapsed in BM after HSCT. Ponatinib was given after HSCT in 4/26 pts and dasatinib in 1/26 due to MRD reappearance, and 1/26 received dasatinib in CMR because of refusal to receive CNS prophylaxis, whereas 20/26 pts did not receive any TKI therapy after HSCT. Twenty-nine pts are alive (median follow-up 2.3y, range 1.3-4). 2y DFS and OS probabilities were 97% (91%-100%) and 97% (91%-100%) (Figure 1).
Among 7/16 pts without CMR after consolidation and genetic material available, 4 showed IKZF1 deletion (IKZF1 plus in 2), 1 showed CDKN2A/B and PAX5 deletion and 2 did not show any CNA. Among 5/19 pts with molecular relapse, 3 showed IKZF1 deletion (1 being IKZF1 plus), and 2 pts did not show any CNA. No ABL1 mutations or T315I mutation at diagnosis were found.
Propensity score with 1:1 matching identified 30 pts in each cohort (variables: age, gender, ECOG, WBC, CNS involvement, cytogenetic risk and BCR/ABL isoform). 2y DFS rates for PONALFIL and ALL Ph08 trials were 97% and 62%, (p=0.005), and 2y OS rates were 97% and 66% (p=0.001) (Figure 2).
107 adverse events (AE) were registered in 20 pts (21 severe in 11 pts), prompting to withdrawn of the trial in 3 (thrombosis of central retina artery, severe bowel infection, grade IV hepatic toxicity). The most frequent AE were hematologic (28%), gastrointestinal (14%), hepatic (11%), infections (7%), and cutaneous (5%). Cardiovascular events occurred in 2 patients (angor pectoris and thrombosis of central artery of the retina).
Conclusions. The results of the PONALFIL trial show a high antileukemic efficacy with acceptable toxicity profile and compare favorably with the same chemotherapy schedule and imatinib.
Supported in part by grant 2017 SGR288 (GRC) Generalitat de Catalunya and "La Caixa" Foundation.
Figure 1. OS (A) and DFS (B). PONALFIL.
Figure 2. OS (A) and DFS (B). PONALFIL vs. ALL Ph08.
Ribera: AMGEN: Consultancy, Research Funding, Speakers Bureau; NOVARTIS: Consultancy, Speakers Bureau; TAKEDA: Consultancy, Research Funding, Speakers Bureau; ARIAD: Consultancy, Research Funding, Speakers Bureau; SHIRE: Consultancy, Speakers Bureau; Pfizer: Consultancy, Research Funding, Speakers Bureau. Esteve: Novartis: Consultancy, Research Funding; Pfizer: Consultancy; Abbvie: Consultancy; Bristol Myers Squibb/Celgene: Consultancy; Novartis: Research Funding; Jazz: Consultancy; Astellas: Consultancy. Mercadal: Roche: Honoraria, Membership on an entity's Board of Directors or advisory committees, Speakers Bureau; Gilead Sciences, Inc.: Honoraria, Speakers Bureau. Martínez-López: Roche, Novartis, Incyte, Astellas, BMS: Research Funding; Janssen, BMS, Novartis, Incyte, Roche, GSK, Pfizer: Consultancy.
This trial includes Ponatinib in off-label indication.

This feature is available to Subscribers Only
Sign In or Create an Account Close Modal